Упр.43.14 ГДЗ Мордковича 10 класс профильный уровень (Алгебра)
Решение #1
Решение #2(записки учителя)
Решение #3(записки школьника)

Рассмотрим вариант решения задания из учебника Мордкович, Семенов 10 класс, Мнемозина:
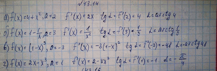
Какой угол образует с осью х касательная, проведенная к графику функции у = f(x) в точке с абсциссой х = а:
a) f(x) = 4 + х2, а = 2;
б) f(x) =l-1/x,a = 3;
в) f(x) = (1 - x)3, а = -3;
г) f(x) = 2х-х3, а = 1?
Похожие решебники
Популярные решебники 10 класс Все решебники
*К сожалению, временные проблемы с публикацией комментариев с мобильных устройств.