Упр.32.35 ГДЗ Мордковича 10 класс профильный уровень (Алгебра)
Решение #1
Решение #2(записки учителя)
Решение #3(записки школьника)

Рассмотрим вариант решения задания из учебника Мордкович, Семенов 10 класс, Мнемозина:
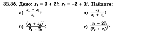
Дано: z1 = 3 + 2i; z2 = -2 + 3i. Найдите:
a) (z1-z2)/z1;
б) (z1 + z2)2 / (z1-z2);
в) z2/(z2 + z1);
г) (z2 - 2z1) / (z2 + z1)3.
Похожие решебники
Популярные решебники 10 класс Все решебники
*К сожалению, временные проблемы с публикацией комментариев с мобильных устройств.