Упр.32.32 ГДЗ Мордковича 10 класс профильный уровень (Алгебра)
Решение #1
Решение #2(записки учителя)
Решение #3(записки школьника)

Рассмотрим вариант решения задания из учебника Мордкович, Семенов 10 класс, Мнемозина:
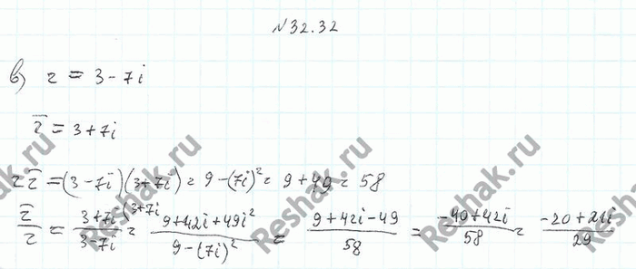
Для комплексного числа z найдите сопряженное число z и вычислите произведение zz и частное z/z
a) z = i;
б) z = -i;
в) z = 3 - 7i;
г) z = -5 - 6i.
Похожие решебники
Популярные решебники 10 класс Все решебники
*размещая тексты в комментариях ниже, вы автоматически соглашаетесь с пользовательским соглашением