Упр.26.19 ГДЗ Мордковича 10 класс профильный уровень (Алгебра)
Решение #1
Решение #2(записки учителя)
Решение #3(записки школьника)

Рассмотрим вариант решения задания из учебника Мордкович, Семенов 10 класс, Мнемозина:
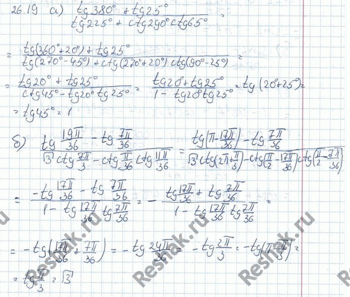
a) (tg 380° + tg 25°) / (tg 225° + ctg 290° ctg 65°);
б) (tg 19пи/36 - tg 7пи/36) / (корень3 ctg 7пи/3 - ctg пи/36 ctg 11пи/36)
Похожие решебники
Популярные решебники 10 класс Все решебники
*К сожалению, временные проблемы с публикацией комментариев с мобильных устройств.