Упр.25.16 ГДЗ Мордковича 10 класс профильный уровень (Алгебра)
Решение #1
Решение #2(записки учителя)
Решение #3(записки школьника)

Рассмотрим вариант решения задания из учебника Мордкович, Семенов 10 класс, Мнемозина:
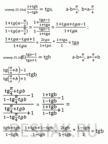
Дано: а - b = пи/4. Докажите, что:
a) (1 + tg b)/(1 - tg b) = tg a;
б) (tg b - 1)/(tg b + 1) = tg b.
Похожие решебники
Популярные решебники 10 класс Все решебники
*размещая тексты в комментариях ниже, вы автоматически соглашаетесь с пользовательским соглашением