Упр.7.53 ГДЗ Мордкович 9 класс (Алгебра)
Решение #1
Решение #2

Рассмотрим вариант решения задания из учебника Мордкович 9 класс, Мнемозина:
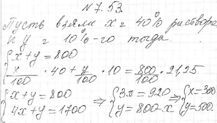
7.53. При смешивании 40% -го раствора соли с 10%-м раствором получили 800 г раствора с концентрацией соли 21,25%. Сколько граммов каждого раствора было для этого взято?
Похожие решебники
Популярные решебники 9 класс Все решебники
*размещая тексты в комментариях ниже, вы автоматически соглашаетесь с пользовательским соглашением