Упр.7.51 ГДЗ Мордкович 9 класс (Алгебра)
Решение #1
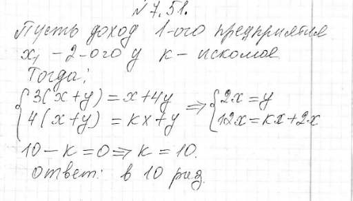
Решение #2

Рассмотрим вариант решения задания из учебника Мордкович 9 класс, Мнемозина:
7.51. Суммарный доход двух предприятий возрастет втрое, если доход первого предприятия останется неизменным, а доход второго увеличится в 4 раза. Во сколько раз надо увеличить доход первого предприятия, оставляя неизменным доход второго, чтобы их суммарный доход вырос в 4 раза?
Похожие решебники
Популярные решебники 9 класс Все решебники
*размещая тексты в комментариях ниже, вы автоматически соглашаетесь с пользовательским соглашением