Упр.7.31 ГДЗ Мордкович 9 класс (Алгебра)
Решение #1
Решение #2

Рассмотрим вариант решения задания из учебника Мордкович 9 класс, Мнемозина:
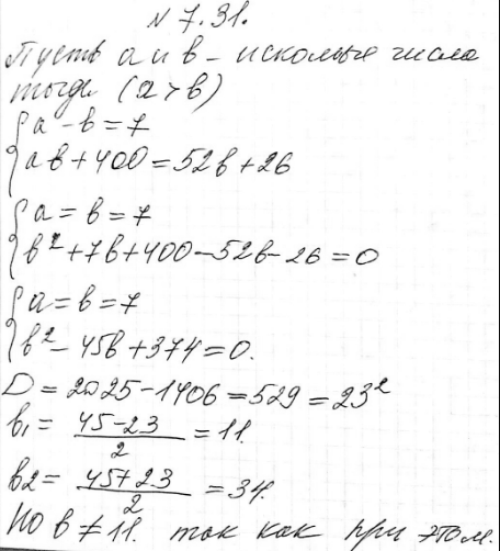
7.31. При перемножении двух натуральных чисел, разность которых равна 7, была допущена ошибка: цифра сотен в произведении увеличена на 4. При делении полученного (неверного) произведения на меньший множитель получилось в частном 52 и в остатке 26. Найдите исходные числа.
Похожие решебники
Популярные решебники 9 класс Все решебники
*К сожалению, временные проблемы с публикацией комментариев с мобильных устройств.