Упр.7.30 ГДЗ Мордкович 9 класс (Алгебра)
Решение #1
Решение #2

Рассмотрим вариант решения задания из учебника Мордкович 9 класс, Мнемозина:
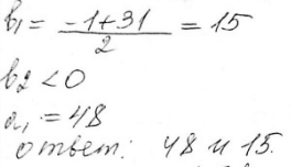
7.30. Задуманы два натуральных числа, произведение которых равно 720. Если первое число разделить на второе, то в частном получится 3 и в остатке 3. Какие числа задуманы?
Похожие решебники
Популярные решебники 9 класс Все решебники
*К сожалению, временные проблемы с публикацией комментариев с мобильных устройств.