Упр.5.6 ГДЗ Мордкович 9 класс (Алгебра)
Решение #1
Решение #2

Рассмотрим вариант решения задания из учебника Мордкович 9 класс, Мнемозина:
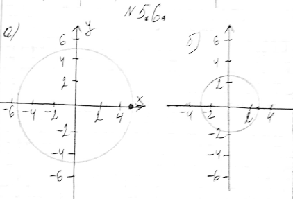
5.6. а) х2 + у2 = 25;
б) х2 + у2 = 9;
в) х2 + у2 = 4;
г) x2+y2 = 1.
Похожие решебники
Популярные решебники 9 класс Все решебники
*К сожалению, временные проблемы с публикацией комментариев с мобильных устройств.