Упр.5.3 ГДЗ Мордкович 9 класс (Алгебра)
Решение #1
Решение #2

Рассмотрим вариант решения задания из учебника Мордкович 9 класс, Мнемозина:
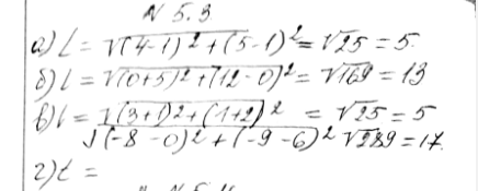
5.3. Найдите расстояние между точками А и В координатной плоскости:
а) А( 1; 1), В(4; 5);
б) А(-5; 0), В(0; 12);
в) А(-1; -2), В(3; 1);
г) А(0; 6), В(-8; -9).
Похожие решебники
Популярные решебники 9 класс Все решебники
*К сожалению, временные проблемы с публикацией комментариев с мобильных устройств.