Упр.5.13 ГДЗ Мордкович 9 класс (Алгебра)
Решение #1
Решение #2

Рассмотрим вариант решения задания из учебника Мордкович 9 класс, Мнемозина:
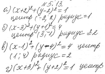
Составьте уравнение окружности, изображенной:
5.13. а) На рис. 5; б) на рис. 6; в) на рис. 7; г) на рис. 8.
Похожие решебники
Популярные решебники 9 класс Все решебники
*К сожалению, временные проблемы с публикацией комментариев с мобильных устройств.