Упр.3.24 ГДЗ Мордкович 9 класс (Алгебра)
Решение #1
Решение #2

Рассмотрим вариант решения задания из учебника Мордкович 9 класс, Мнемозина:
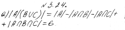
3.24. На уроке литературы учитель решил узнать, кто из 40 учеников 9-го класса читал книги А, Б, С. Результаты опроса выглядят так: книгу А прочитали 25 учеников, книгу В — 22 ученика, книгу С — 22 ученика; одну из книг А или В прочитали 33 ученика, одну из книг А или С прочитали 32 ученика, одну из книг В или С — 31 ученик. Все три книги прочитали 10 учеников. Сколько учеников: а) прочитали только по одной книге; б) прочитали ровно две книги; в) не читали ни одной из указанных книг?
Похожие решебники
Популярные решебники 9 класс Все решебники
*К сожалению, временные проблемы с публикацией комментариев с мобильных устройств.