Упр.17.56 ГДЗ Мордкович 9 класс (Алгебра)
Решение #1
Решение #2

Рассмотрим вариант решения задания из учебника Мордкович, Александрова 9 класс, Мнемозина:
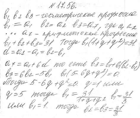
17.56. Три числа, сумма которых равна 31, можно рассматривать как три последовательных члена некоторой геометрической прогрессии или как первый, второй, седьмой члены некоторой арифметической прогрессии. Найдите эти числа.
Похожие решебники
Популярные решебники 9 класс Все решебники
*К сожалению, временные проблемы с публикацией комментариев с мобильных устройств.