Упр.16.32 ГДЗ Мордкович 9 класс (Алгебра)
Решение #1
Решение #2

Рассмотрим вариант решения задания из учебника Мордкович 9 класс, Мнемозина:
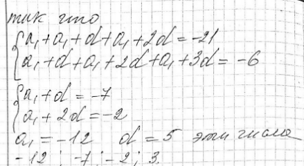
16.32. Четыре числа являются последовательными членами арифметической прогрессии. Сумма первых трех равна -21, а сумма трех последних чисел равна -6. Найдите эти числа.
Похожие решебники
Популярные решебники 9 класс Все решебники
*К сожалению, временные проблемы с публикацией комментариев с мобильных устройств.