Упр.16.26 ГДЗ Мордкович 9 класс (Алгебра)
Решение #1
Решение #2

Рассмотрим вариант решения задания из учебника Мордкович 9 класс, Мнемозина:
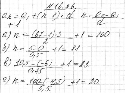
16.26. Дана конечная арифметическая прогрессия (an). Наидите n, если:
а) a1=1, d = 2/3, an= 67;
б) а1 = 0, d = 0,5, аn= 5;
в) a1 = -6, d = 3/4, an=10*1/2;
г) a1 = -4,5, d = 5,5, аn = 100.
Похожие решебники
Популярные решебники 9 класс Все решебники
*К сожалению, временные проблемы с публикацией комментариев с мобильных устройств.