Упр.13.8 ГДЗ Мордкович 9 класс (Алгебра)
Решение #1
Решение #2

Рассмотрим вариант решения задания из учебника Мордкович 9 класс, Мнемозина:
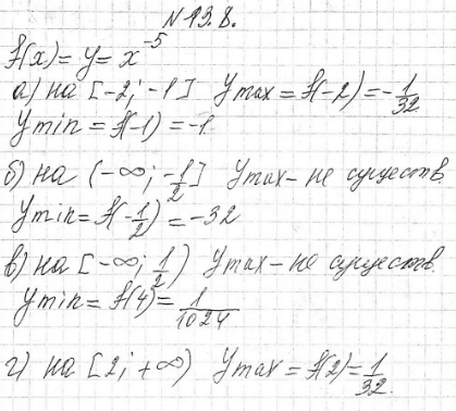
13.7 Найдите наименьшее и наибольшее значения функции y=x^-5:
а) на отрезке [-2;-1];
б) на луче (-бесконечность;-1/2]
в) на полуинтервале (1/2;4];
г) на луче [2; +бесконечность).
Похожие решебники
Популярные решебники 9 класс Все решебники
*К сожалению, временные проблемы с публикацией комментариев с мобильных устройств.