Упр.13.6 ГДЗ Мордкович 9 класс (Алгебра)
Решение #1
Решение #2

Рассмотрим вариант решения задания из учебника Мордкович 9 класс, Мнемозина:
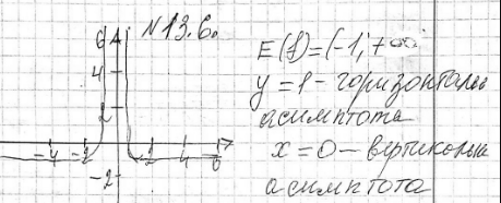
13.6. Постройте график функции у = х^-2 - 1. Найдите область значений функции. Составьте уравнения горизон тальной и вертикальной асимптот.
Похожие решебники
Популярные решебники 9 класс Все решебники
*размещая тексты в комментариях ниже, вы автоматически соглашаетесь с пользовательским соглашением