Упр.12.37 ГДЗ Мордкович 9 класс (Алгебра)
Решение #1
Решение #2

Рассмотрим вариант решения задания из учебника Мордкович 9 класс, Мнемозина:
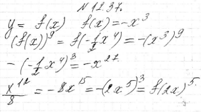
12.34. Дана функция у =f(x), где f(x) =-x3. Докажите, что (f(x))9 : f(-1x4/2)=f(2x5).
Похожие решебники
Популярные решебники 9 класс Все решебники
*К сожалению, временные проблемы с публикацией комментариев с мобильных устройств.