Упр.12.31 ГДЗ Мордкович 9 класс (Алгебра)
Решение #1
Решение #2

Рассмотрим вариант решения задания из учебника Мордкович 9 класс, Мнемозина:
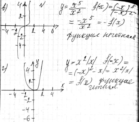
Исследуйте функцию на четность и постройте ее график:
12.31 а) y=x4/x;
б) y=x4/|x|;
в) y=x5/x2;
г) y=x2|x|.
Похожие решебники
Популярные решебники 9 класс Все решебники
*К сожалению, временные проблемы с публикацией комментариев с мобильных устройств.