Упр.11.26 ГДЗ Мордкович 9 класс (Алгебра)
Решение #1
Решение #2

Рассмотрим вариант решения задания из учебника Мордкович 9 класс, Мнемозина:
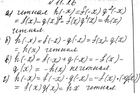
11.26. Функции у - f(x) и у = g(x) определены на множестве всех действительных чисел. Является ли функция у = h(x) четной или нечетной, если:
а) h(x) = f(x) * g2(x), y = f(x) — четная функция, у = g(x) — нечетная функция;
б) h(x) = f(x) - g(x), y = f(x) и у = g(x) — четные функции;
в) h(x) = f(x) + g(x), у = f(x) и y= g(x) — нечетные функции;
г) h(x) = f(x)* g(x)f у = f(x) и у = g(х) — нечетные функции?
Похожие решебники
Популярные решебники 9 класс Все решебники
*размещая тексты в комментариях ниже, вы автоматически соглашаетесь с пользовательским соглашением