Упр.11.22 ГДЗ Мордкович 9 класс (Алгебра)
Решение #1
Решение #2

Рассмотрим вариант решения задания из учебника Мордкович 9 класс, Мнемозина:
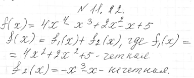
11.22. Представьте функцию у = f(x), где f(x) = 4x4 - х3 + 2х2 -x + 5 в виде суммы четной и нечетной функций.
Похожие решебники
Популярные решебники 9 класс Все решебники
*К сожалению, временные проблемы с публикацией комментариев с мобильных устройств.