Упр.1.6 ГДЗ Мордкович 9 класс (Алгебра)
Решение #1
Решение #2

Рассмотрим вариант решения задания из учебника Мордкович 9 класс, Мнемозина:
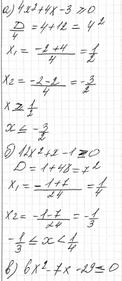
1.6.а)4х2+4х-3 > =0;
б)12х2+х-1 < 0;
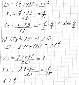
в)6х2-7х-20 < =0;
г)15х2-29х-2 > 0.
Похожие решебники
Популярные решебники 9 класс Все решебники
*К сожалению, временные проблемы с публикацией комментариев с мобильных устройств.