Упр.1.12 ГДЗ Мордкович 9 класс (Алгебра)
Решение #1
Решение #2

Рассмотрим вариант решения задания из учебника Мордкович 9 класс, Мнемозина:
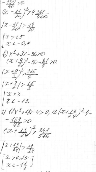
1.12 а) 1/ корень (x2-18x+77);
б) корень (10x2-11x-6)^-1;
в) 1/ корень (x2+9x-36);
г) корень (12x2+13x-4)^-1.
Похожие решебники
Популярные решебники 9 класс Все решебники
*размещая тексты в комментариях ниже, вы автоматически соглашаетесь с пользовательским соглашением