Упр.1.22 ГДЗ Мордкович 9 класс (Алгебра)
Решение #1
Решение #2

Рассмотрим вариант решения задания из учебника Мордкович 9 класс, Мнемозина:
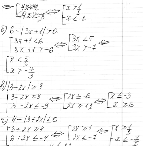
1.22. а) |4х+3| > 5;
б)6-|3х+1| > 0;
в) |3 - 2х| > = 9;
г)4- |3+2х| < =0.
Похожие решебники
Популярные решебники 9 класс Все решебники
*размещая тексты в комментариях ниже, вы автоматически соглашаетесь с пользовательским соглашением