Упр.1.19 ГДЗ Мордкович 9 класс (Алгебра)
Решение #1
Решение #2

Рассмотрим вариант решения задания из учебника Мордкович 9 класс, Мнемозина:
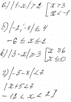
1.19.1) |1-х| > 2;
б)|-2-х| < =4;
в)|3-х| > =3;
г)|-5-х| < 7.
Похожие решебники
Популярные решебники 9 класс Все решебники
*К сожалению, временные проблемы с публикацией комментариев с мобильных устройств.