Упр.959 ГДЗ Макарычев Миндюк 9 класс (Алгебра)
Решение #1
Решение #2
Решение #3

Рассмотрим вариант решения задания из учебника Макарычев, Миндюк, Нешков 9 класс, Просвещение:
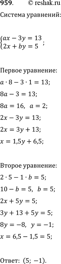
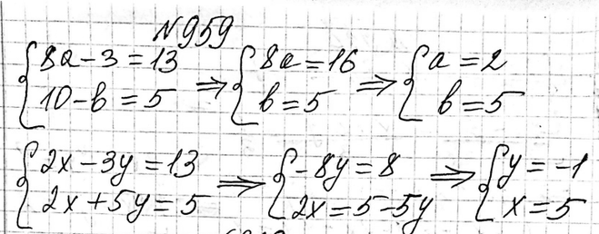
959. Решите систему уравнений
система
ах - Зу = 13,
2х + by = 5
с переменными х и у, если одним из решений первого уравне ния является пара чисел (8; 1), а второго — пара чисел (5; -1)
Похожие решебники
Популярные решебники 9 класс Все решебники
*размещая тексты в комментариях ниже, вы автоматически соглашаетесь с пользовательским соглашением