Упр.957 ГДЗ Макарычев Миндюк 9 класс (Алгебра)
Решение #1
Решение #2
Решение #3

Рассмотрим вариант решения задания из учебника Макарычев, Миндюк, Нешков 9 класс, Просвещение:
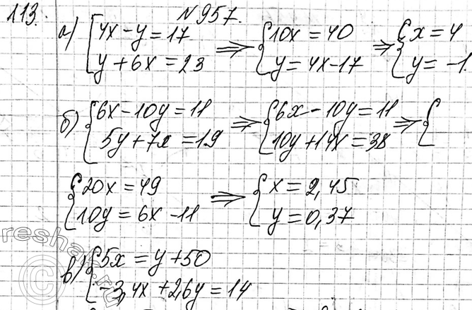
957. Решите систему уравнений:
а) система
4x-y=17,
y+6x=23;
б) система
6x-10y=11,
5y+7x=19;
в) система
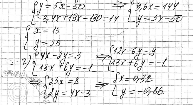
5x=y+50,
-3,4x+2,6y=14;
г) система
4x-2y=3,
13x+6y=-1.
Похожие решебники
Популярные решебники 9 класс Все решебники
*размещая тексты в комментариях ниже, вы автоматически соглашаетесь с пользовательским соглашением