Упр.934 ГДЗ Макарычев Миндюк 9 класс (Алгебра)
Решение #1
Решение #2
Решение #3

Рассмотрим вариант решения задания из учебника Макарычев, Миндюк, Нешков 9 класс, Просвещение:
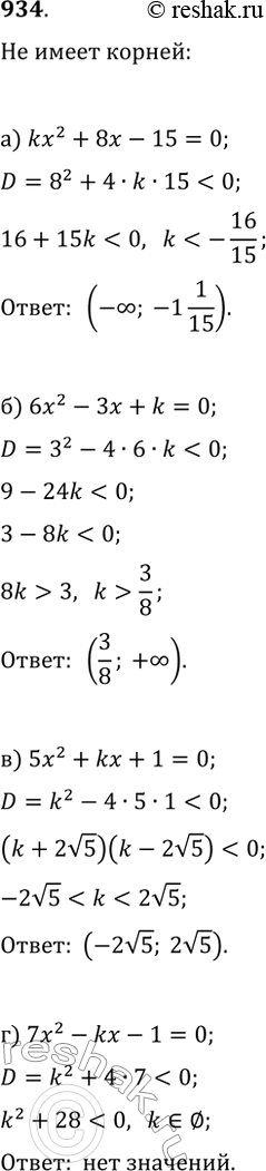
934. При каких значениях k уравнение не имеет корней:
а) kx2 + 8х - 15 = 0; в) 5x2 + kx + 1 = 0;
б) 6x2 - 3х + k = 0; г) 7x2 - kx - 1 = 0?
Похожие решебники
Популярные решебники 9 класс Все решебники
*размещая тексты в комментариях ниже, вы автоматически соглашаетесь с пользовательским соглашением