Упр.906 ГДЗ Макарычев Миндюк 9 класс (Алгебра)
Решение #1
Решение #2
Решение #3

Рассмотрим вариант решения задания из учебника Макарычев, Миндюк, Нешков 9 класс, Просвещение:
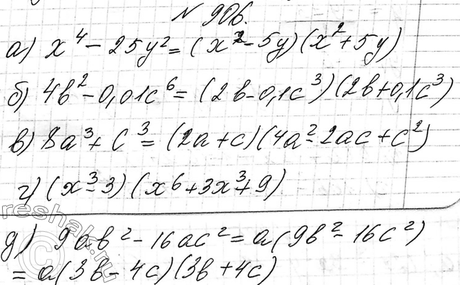
906. Разложите на множители:
а) х4 - 25у2;
б) 462 - 0,01с6;
в) 8а3 + с;
г) х9 - 27;
д) 9ab2 - 16ас2;
е) -20ху3 + 45х3у.
Похожие решебники
Популярные решебники 9 класс Все решебники
*К сожалению, временные проблемы с публикацией комментариев с мобильных устройств.