Упр.470 ГДЗ Макарычев Миндюк 9 класс (Алгебра)
Решение #1
Решение #2
Решение #3

Рассмотрим вариант решения задания из учебника Макарычев, Миндюк, Нешков 9 класс, Просвещение:
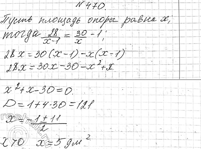
470. Груз массой 30 кг производит давление на опору. Если массу груза уменьшить на 2 кг, а площадь опоры уменьшить на 1 дм2, то масса, приходящаяся на каждый квадратный дециметр опоры, увеличится на 1 кг. Найдите площадь опоры.
Похожие решебники
Популярные решебники 9 класс Все решебники
*К сожалению, временные проблемы с публикацией комментариев с мобильных устройств.