Упр.432 ГДЗ Макарычев Миндюк 9 класс (Алгебра)
Решение #1
Решение #2
Решение #3

Рассмотрим вариант решения задания из учебника Макарычев, Миндюк, Нешков 9 класс, Просвещение:
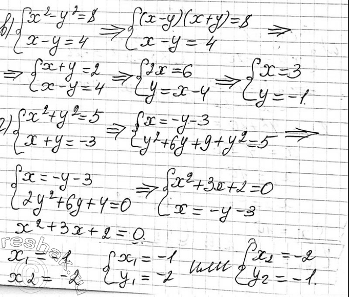
432. Решите систему уравнений:
а) система
x+y=8,
xy=-20;
б) система
x-y=0,8,
xy=2,4;
в) система
x2-y2=8,
x-y=4;
г) система
x2+y2=5,
x+y=-3
Похожие решебники
Популярные решебники 9 класс Все решебники
*К сожалению, временные проблемы с публикацией комментариев с мобильных устройств.