Упр.427 ГДЗ Макарычев Миндюк 9 класс (Алгебра)
Решение #1
Решение #2
Решение #3

Рассмотрим вариант решения задания из учебника Макарычев, Миндюк, Нешков 9 класс, Просвещение:
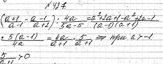
427. Докажите, что при а > -1 выражение ((a+1)/(a-1) - (a-1)/(a+1)): 4a/(5a-5) принимает положительные значения при всех допустимых значениях а.
Похожие решебники
Популярные решебники 9 класс Все решебники
*К сожалению, временные проблемы с публикацией комментариев с мобильных устройств.