Упр.313 ГДЗ Макарычев Миндюк 9 класс (Алгебра)
Решение #1
Решение #2
Решение #3

Рассмотрим вариант решения задания из учебника Макарычев, Миндюк, Нешков 9 класс, Просвещение:
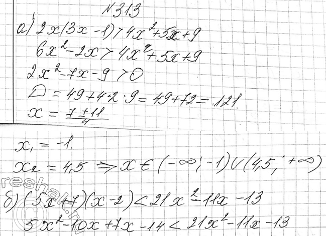
313. Решите неравенство:
а) 2х(3х - 1) > 4х2 + 5x + 9;
б) (5х + 7)(х - 2) < 21х2 - 11х - 13.
Похожие решебники
Популярные решебники 9 класс Все решебники
*К сожалению, временные проблемы с публикацией комментариев с мобильных устройств.