Упр.171 ГДЗ Макарычев Миндюк 9 класс (Алгебра)
Решение #1
Решение #2
Решение #3
Решение #4

Рассмотрим вариант решения задания из учебника Макарычев, Миндюк, Нешков 9 класс, Просвещение:
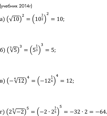
171. Найдите значение выражения:
а) (v10)^2
б) (3v5)^3
в) (-4v12)^4
г) (2 5v-2)^5
д) (5v-8)^5
е) (-2v3)^2
Похожие решебники
Популярные решебники 9 класс Все решебники
*размещая тексты в комментариях ниже, вы автоматически соглашаетесь с пользовательским соглашением