Упр.121 ГДЗ Макарычев Миндюк 9 класс (Алгебра)
Решение #1
Решение #2
Решение #3

Рассмотрим вариант решения задания из учебника Макарычев, Миндюк, Нешков 9 класс, Просвещение:
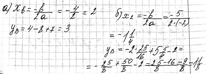
121. Квадратичная функция задана формулой:
а) у = х2 - 4х + 7;
б) у = -2х2 - 5х - 2.
Найдите координаты вершины параболы. Наметив на координатной плоскости вершину параболы и её ось симметрии, изобразите схематически график.
Похожие решебники
Популярные решебники 9 класс Все решебники
*размещая тексты в комментариях ниже, вы автоматически соглашаетесь с пользовательским соглашением