Упр.1026 ГДЗ Макарычев Миндюк 9 класс (Алгебра)
Решение #1
Решение #2
Решение #3

Рассмотрим вариант решения задания из учебника Макарычев, Миндюк, Нешков 9 класс, Просвещение:
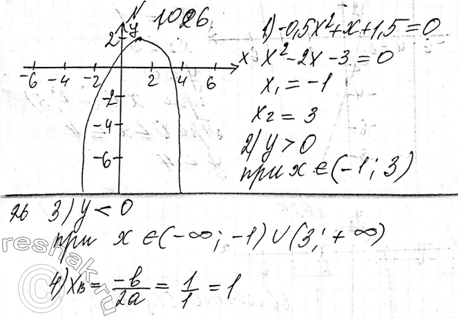
1026. Постройте график функции у = -0,5х2 + х + 1,5. При каких значениях х значение у равно нулю; больше нуля; меньше нуля? В каком промежутке эта функция возрастает и в каком промежутке убывает? Каково наибольшее значение этой функции?
Похожие решебники
Популярные решебники 9 класс Все решебники
*К сожалению, временные проблемы с публикацией комментариев с мобильных устройств.