Упр.1022 ГДЗ Макарычев Миндюк 9 класс (Алгебра)
Решение #1
Решение #2
Решение #3

Рассмотрим вариант решения задания из учебника Макарычев, Миндюк, Нешков 9 класс, Просвещение:
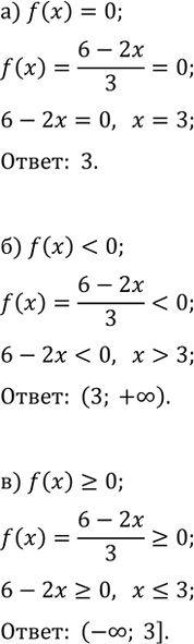
1022. Функция у = f(x) задана формулой у = (6-2x)/3. При каких значениях аргумента х:
a) f(x) = 0; б) f(x) < 0; в) f(x) > О?
Постройте график этой функции.
Похожие решебники
Популярные решебники 9 класс Все решебники
*К сожалению, временные проблемы с публикацией комментариев с мобильных устройств.