Упр.876 ГДЗ Макарычев Миндюк 8 класс (Алгебра)
Решение #1 (Учебник 2024)
Решение #2 (Учебник 2019)
Решение #3 (Учебник 2019)

Рассмотрим вариант решения задания из учебника Макарычев, Миндюк, Нешков 8 класс, Просвещение:
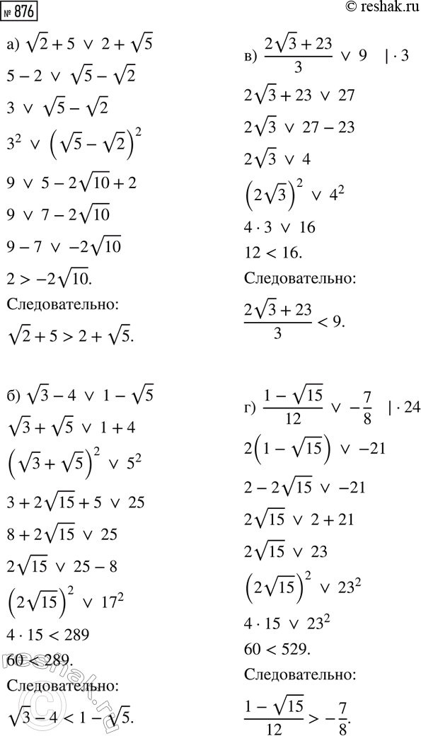
Сравните числа:
а) v2 + 5 и 2 + v5; в) (2v3 + 23)/3 и 9;
б) v3 - 4 и 1 - v5; г) (1 - v15)/12 и -7/8.
Решите систему неравенств:
а) система
x>17,
x>12;
б) система
x<1,
x<5;
в) система
x>0,
x<6;
г) система
x<-3,5,
x>8;
д) система
x>=-1,
x<=3;
е) система
x>8,
x<=20.
Похожие решебники
Популярные решебники 8 класс Все решебники
*размещая тексты в комментариях ниже, вы автоматически соглашаетесь с пользовательским соглашением