Упр.770 ГДЗ Макарычев Миндюк 8 класс (Алгебра)
Решение #1 (Учебник 2024)
Решение #2 (Учебник 2024)
Решение #3 (Учебник 2024)
Решение #4 (Учебник 2019)
Решение #5 (Учебник 2019)

Рассмотрим вариант решения задания из учебника Макарычев, Миндюк, Нешков 8 класс, Просвещение:
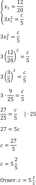
Один из корней уравнения 5х2 - 12х + с = 0 в 3 раза больше другого. Найдите с.
Пользуясь тем, что 1,4 < корень 2 < 1,5 и 1,7 < корень 3 < 1 ,8, оцените:
а) корень 2 + корень 3;
б) корень 3 — корень 2.
Похожие решебники
Популярные решебники 8 класс Все решебники
*размещая тексты в комментариях ниже, вы автоматически соглашаетесь с пользовательским соглашением