Упр.731 ГДЗ Макарычев Миндюк 8 класс (Алгебра)
Решение #1 (Учебник 2024)
Решение #2 (Учебник 2019)
Решение #3 (Учебник 2019)

Рассмотрим вариант решения задания из учебника Макарычев, Миндюк, Нешков 8 класс, Просвещение:
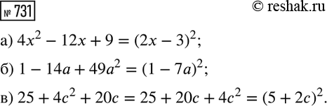
Представьте в виде квадрата двучлена:
а) 4x^2 - 12x + 9; б) 1 - 14а + 49а^2; в) 25 + 4с^2 + 20с.
Докажите неравенство:
а) а(а + b) >= ab;
б) m2 - mn + n2 >= mn;
в) 10а2 - 5а + 1 >= а2 + а;
г) 2bс <= b2 + с2;
д) а (а - b) >= b(а - b);
е) а2 - а <= 50а2 - 15а + 1.
Похожие решебники
Популярные решебники 8 класс Все решебники
*размещая тексты в комментариях ниже, вы автоматически соглашаетесь с пользовательским соглашением