Упр.717 ГДЗ Макарычев Миндюк 8 класс (Алгебра)
Решение #1 (Учебник 2024)
Решение #2 (Учебник 2019)
Решение #3 (Учебник 2019)
Решение #4 (Учебник 2019)

Рассмотрим вариант решения задания из учебника Макарычев, Миндюк, Нешков 8 класс, Просвещение:
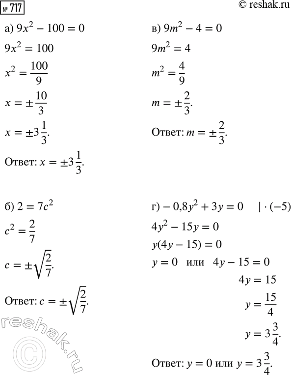
Найдите корни уравнения:
а) 9х^2 - 100 = 0; в) 9m^2 - 4 = 0;
б) 2 = 7с^2; г) -0,8y^2 + 3y = 0.
Масса двух сплавов меди и олова равна 60 кг. Первый сплав содержит 6 кг меди, а второй — 3,6 кг меди. Найдите массу каждого сплава, если известно, что содержание меди в первом сплаве на 15% больше, чем во втором.
Похожие решебники
Популярные решебники 8 класс Все решебники
*размещая тексты в комментариях ниже, вы автоматически соглашаетесь с пользовательским соглашением