Упр.58 ГДЗ Макарычев Миндюк 8 класс (Алгебра)
Решение #1 (Учебник 2024)
Решение #2 (Учебник 2024)
Решение #3 (Учебник 2019)
Решение #4 (Учебник 2019)

Рассмотрим вариант решения задания из учебника Макарычев, Миндюк, Нешков 8 класс, Просвещение:
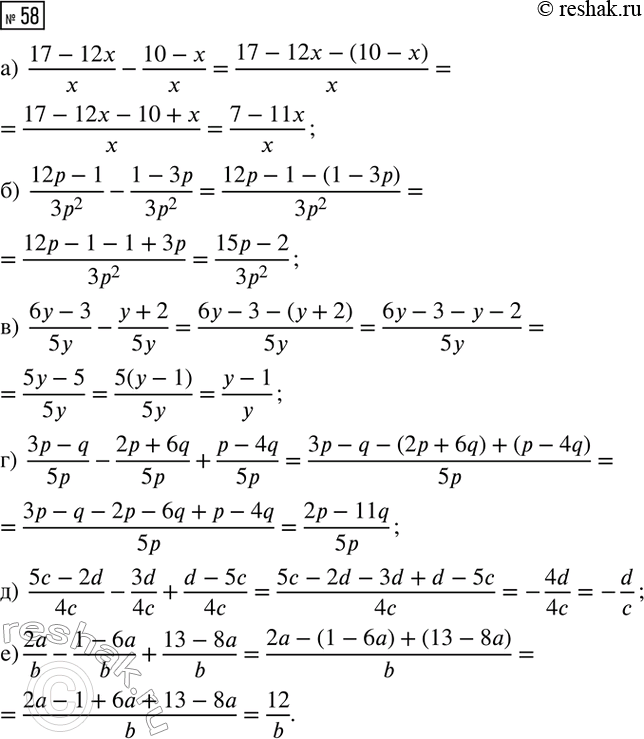
Представьте выражение в виде дроби:
а) (17 - 12x)/x - (10 - x)/x;
б) (12p - 1)/3p^2 - (1 - 3p)/3p^2;
в) (6y - 3)/5y - (y + 2)/5y;
г) (3p - q)/5p - (2p + 6q)/5p + (p - 4q)/5p;
д) (5c - 2d)/4c - 3d/4c + (d - 5c)/4c;
е) 2a/b - (1 - 6a)/b + (13 - 8a)/b.
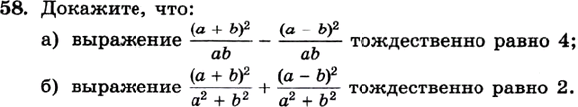
Докажите, что:
а) выражение (a+b)2/ab - (a-b)2/ab тождественно равно 4;
б) выражение (a+b)2/(a2+b2) + (a-b)2/(a2+b2) тождественно равно 2.
Похожие решебники
Популярные решебники 8 класс Все решебники
*размещая тексты в комментариях ниже, вы автоматически соглашаетесь с пользовательским соглашением