Упр.520 ГДЗ Макарычев Миндюк 8 класс (Алгебра)
Решение #1 (Учебник 2024)
Решение #2 (Учебник 2024)
Решение #3 (Учебник 2019)
Решение #4 (Учебник 2019)

Рассмотрим вариант решения задания из учебника Макарычев, Миндюк, Нешков 8 класс, Просвещение:
Найдите корни уравнения:
а) (х +3)(х-4) =-12;
б) 1*2/3*t + (2t + 1)(1/3*t-1) = 0;
в) 3х(2х + 3) = 2х(х + 4,5) + 2;
г) (х-1)(х + 1)= 2(х2-3).
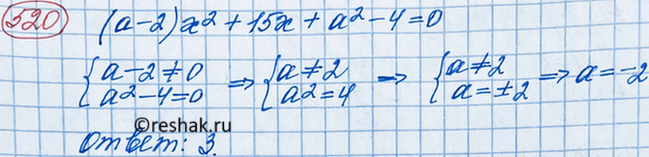
При каких значениях а уравнение (а - 2)х2 + 15х + а2 - 4 = 0 является неполным квадратным уравнением? Выберите верный ответ.
1. а = -1
2. а = 1
3. а = -2
4. а = 2
Похожие решебники
Популярные решебники 8 класс Все решебники
*К сожалению, временные проблемы с публикацией комментариев с мобильных устройств.