Упр.518 ГДЗ Макарычев Миндюк 8 класс (Алгебра)
Решение #1 (Учебник 2024)
Решение #2 (Учебник 2019)
Решение #3 (Учебник 2024)

Рассмотрим вариант решения задания из учебника Макарычев, Миндюк, Нешков 8 класс, Просвещение:
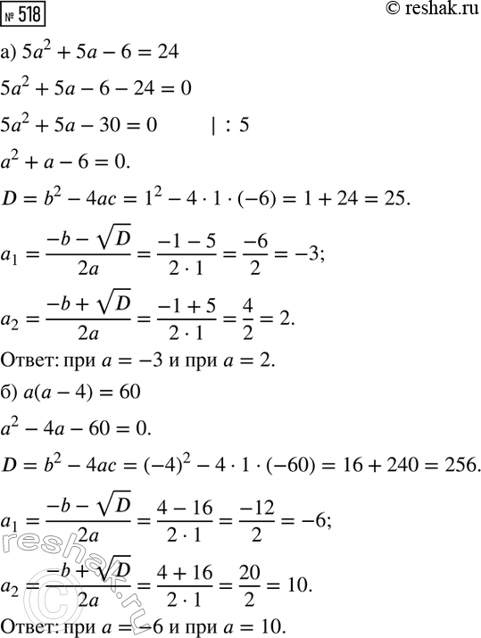
Найдите значения переменной а, при которых:
а) значение выражения 5а^2 + 5а - 6 равно 24;
б) значение выражения а(а - 4) равно 60.
Решите уравнение:
а) 2x2 + 3х = 0;
б) 3х2 -2=0;
в) 5u2 - 4u = 0;
т) 7а- 14а2 = 0;
д) 1 - 4у2 = 0;
е) 2х2 -6=0.
Похожие решебники
Популярные решебники 8 класс Все решебники
*К сожалению, временные проблемы с публикацией комментариев с мобильных устройств.