Упр.328 ГДЗ Макарычев Миндюк 8 класс (Алгебра)
Решение #1 (Учебник 2024)
Решение #2 (Учебник 2024)
Решение #3 (Учебник 2024)
Решение #4 (Учебник 2019)
Решение #5 (Учебник 2019)

Рассмотрим вариант решения задания из учебника Макарычев, Миндюк, Нешков 8 класс, Просвещение:
Изобразите схематически в одной и той же системе координат графики функций у=10/x и у = 10х. Имеют ли эти графики общие точки и если имеют, то сколько?
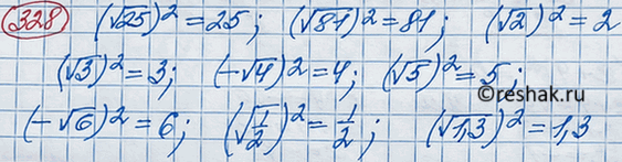
Найдите квадрат числа: корень 25; корень 81; корень 2; корень 3; - корень 4; корень 5; -корень 6;корень 1/2; корень 1,3.
Похожие решебники
Популярные решебники 8 класс Все решебники
*размещая тексты в комментариях ниже, вы автоматически соглашаетесь с пользовательским соглашением