Упр.327 ГДЗ Макарычев Миндюк 8 класс (Алгебра)
Решение #1 (Учебник 2024)
Решение #2 (Учебник 2019)
Решение #3 (Учебник 2024)

Рассмотрим вариант решения задания из учебника Макарычев, Миндюк, Нешков 8 класс, Просвещение:
Найдите значение выражения:
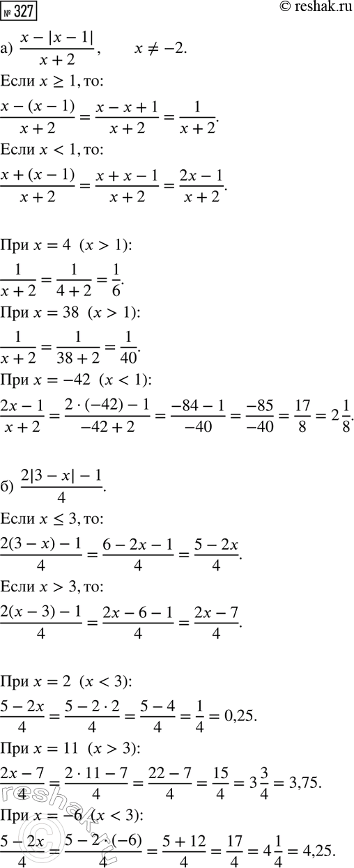
а) (x - |x - 1|)/(x + 2) при х, равном 4; 38; -42;
б) (2|3 - x| - 1)/4 при х, равном 2; 11; -6.
При каких значениях переменной х имеет смысл выражение:
а) корень 2х;
б) корень -х?
Похожие решебники
Популярные решебники 8 класс Все решебники
*К сожалению, временные проблемы с публикацией комментариев с мобильных устройств.