Упр.297 ГДЗ Макарычев Миндюк 8 класс (Алгебра)
Решение #1 (Учебник 2024)
Решение #2 (Учебник 2024)
Решение #3 (Учебник 2019)
Решение #4 (Учебник 2019)

Рассмотрим вариант решения задания из учебника Макарычев, Миндюк, Нешков 8 класс, Просвещение:
Пользуясь таблицей квадратов натуральных чисел, найдите:
а) корень 225, корень 169, корень 324, корень 361;
б) корень 1,44, корень 3,24, корень 2,56, корень 2,25;
в) корень 576, корень 1764, корень 3721, корень 7396;
г) корень 7,29, корень 13,69, корень 56,25, корень 77,44.
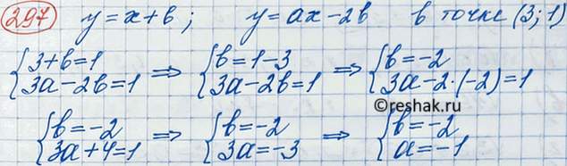
При каких значениях а и b графики функций у = х + b и у = ах - 2b пересекаются в точке (3; 1)?
Похожие решебники
Популярные решебники 8 класс Все решебники
*размещая тексты в комментариях ниже, вы автоматически соглашаетесь с пользовательским соглашением