Упр.194 ГДЗ Макарычев Миндюк 8 класс (Алгебра)
Решение #1 (Учебник 2024)
Решение #2 (Учебник 2024)
Решение #3 (Учебник 2024)
Решение #4 (Учебник 2019)
Решение #5 (Учебник 2019)
Решение #6 (Учебник 2019)

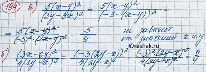
Рассмотрим вариант решения задания из учебника Макарычев, Миндюк, Нешков 8 класс, Просвещение:
На рисунке 7 построен график зависимости времени, затрачиваемого на путь из пункта А в пункт В, от скорости движения. С помощью графика ответьте на вопросы:
а) Сколько времени потребуется на путь из А в В при скорости движения 80 км/ч? 25 км/ч? 40 км/ч?
б) С какой скоростью надо двигаться, чтобы добраться из пункта А в пункт В за 1 ч? за 4 ч? за 8 ч? за 16 ч?
в) Каково расстояние между пунктами А и В?
Докажите, что при всех допустимых значениях переменных значение дроби не зависит от значений этих переменных:
Похожие решебники
Популярные решебники 8 класс Все решебники
*размещая тексты в комментариях ниже, вы автоматически соглашаетесь с пользовательским соглашением