Упр.163 ГДЗ Макарычев Миндюк 8 класс (Алгебра)
Решение #1 (Учебник 2024)
Решение #2 (Учебник 2024)
Решение #3 (Учебник 2024)
Решение #4 (Учебник 2019)
Решение #5 (Учебник 2019)
Решение #6 (Учебник 2019)

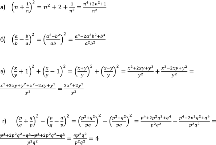
Рассмотрим вариант решения задания из учебника Макарычев, Миндюк, Нешков 8 класс, Просвещение:
Докажите, что при всех допустимых значениях переменных значение выражения не зависит от значений входящих в него переменных:
Представьте в виде многочлена или рациональной дроби:
а) (n+1/n)2;
б) (a/b-b/a)2;
в) (x/y+1)2 + (x/y-1)2;
г) (p/q+q/p)2-(p/q-q/p)2.
Похожие решебники
Популярные решебники 8 класс Все решебники
*размещая тексты в комментариях ниже, вы автоматически соглашаетесь с пользовательским соглашением